Піротехнічна машина легкого типу | Validus Spec...
Автоматична машинка для самокруток 🍂 - YouTube
Масса грузовика в 8 раз больше массы легкового ...
Заказать Автоматическая машина для наполнения и...
Отличия снаряженной, полной и максимально допус...
Допустимая масса прицепа для легкового автомоби...
Скільки насправді машин в Україні: багато чи ма...
В Беларуси отменят ускоренную амортизацию для в...
Автоматична тісторозкаточна машина Кумкая. Прод...
Устройство легкового автомобиля Автомобильный э...
Автоматическая машина для упаковки лаваша - You...
масса грузового автомобиля в 6 раз больше массы...
Легочные автоматы AutoMaXX-N MSA Safety (Германия)
Оперативно-піротехнічна машина легкого типу | V...
Масса грузового автомобиля в 6 раз больше массы...
Автопилот в современном авто: на что способны э...
Масса грузового транспорта больше массы легково...
Смарт-машина дня, впервые, выборы поменялись… —...
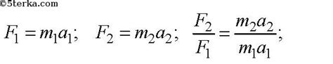
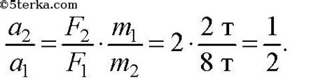
145. Масса легкового автомобиля равна 2 т, а гр...
Купити акумулятор на легковий автомобіль | А-Ме...
Які типи приводу у легкових авто популярні на р...
Разрешённая масса автомобиля: грузового и легко...
Снаряженная масса автомобиля: что это такое и ч...
Тяговый расчет автомобиля - презентация онлайн
После Вы не узнаете свое АВТО!! Масло для автом...
Купити акумулятор для вантажних автомобілів | А...
Заказать АВТОМАТИЧЕСКАЯ МАШИНА ДЛЯ ПОЗИЦИОНИРОВ...
Что такое легковая машина
Ящики для інструментів на колесах: мобільність ...
Такая разная масса — DRIVE2