What is the integral of tan(x)? - Epsilonify
Tabla de razones trigonométricas de ángulos not...
Trigonometry Function Graphs for Sin, Cos, Tan,...
Beige or Tan Metal Roofing & Walls: Pros, Cons,...
Prove that. sin2x=2tanx/(1+tan^2(x)) - YouTube
Download Dark Tan Aesthetic Gradient Wallpaper ...
Benjamin Moore Manchester Tan HC-81 Review | Co...
All You Need to Know about Tan Color: An Ultima...
337 Brown Background Solid Pictures - MyWeb
Trigonometri: Tabel Sin Cos Tan Lengkap Bisa Di...
Difference Between TAN and PAN: Overviews & Com...
Tan Table Of Values
Tan Background Color
Derivative of Tan^-1 x: Detailed Explanation an...
Hands Down, Tan-Luxe Super Glow Serum Is the Be...
Tan Biónica anuncia nuevas fechas de su tour La...
Iconic London Fluide de teint Super Smoother Bl...
Tán Is Giving NYers A Taste Of Mexico's Caribbe...
Sherwin Williams Natural Tan Paint Color Review...
13 Best Tan Paint Colors for Interior Designs: ...
100+ Shades of Tan Color (Names, HEX, RGB & CMY...
Hair Color For Tan Skin, Girl Hair Colors, Brow...
Tangent Ratio – Definition, Formula, and Examples
Spray Tan Color Chart
All About TAN in Income Tax with Online and Off...
Tan
What is the Derivative of cot(x)? - [FULL SOLUT...
Beige Bathroom Tiles? Here’s How to Make Them L...
40 Stunning Hair Color Ideas for Tan Skin Tones...
Brown Hair Brown Eyes, Brown Skin Girls, Brown ...
Rumus Sin Cos Tan dan Jenisnya - Varia Katadata...
Pin by Phabricia Torres on //Make♡ | Brown girl...
Manchester Tan, by Benjamin Moore Explained - L...
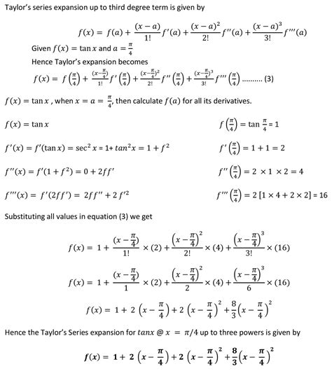
Expand tan x in Taylor’s Series up to three in ...
What is the Integration of tan^2x | Integral of...
Derivative of tan(x) using First Principle of D...
Tan Color Meaning: What is the Meaning of the C...
Oversize tan t-shirt front and back background ...
Pose Reference Photo, Art Reference Photos, Tan...
8 Ways To Remove Fake Tan From Hands
Tan Alpha - Khám Phá Tính Chất và Ứng Dụng Đầy ...
Bài Thơ Sin Cos Tan ️️20+ Bài Thơ Về Công Thức ...
Hair Color For Tan Skin, Honey Brown Hair, Girl...
Mengenal Konsep Sin Cos Tan dalam Trigonometri ...
Chestnut Brown Hair, Honey Brown Hair, Girl Wit...
tan – Medium
Trigonometric table radian : 10 images, photos ...
Black or blue or tan?
Tan real 😂😂
Sin Cos Tan Graphs - GCSE Maths - Steps, Exampl...
Tan France Collaborated With Nestig For the Cut...
18 Best Tan House Color Schemes That Will Never...
Introduction to Dynamic Mechanical Analysis and...
Brown Hair Green Eyes, Olive Skin, Brunette Gir...
When Does A Spray Tan Look Its Best at Michael ...
Show despedida de Tan Biónica: valor de las ent...
Differences between tan and beige - Sometimes I...
Tan Wallpaper Discover more abstract, aesthetic...
Differentiation of Tan Inverse x- Explanation, ...
Sin Cos Tan - GCSE Maths - Steps, Examples & Wo...
Tan France Is the New Host of Say Yes to the Dr...
Brown Hair Inspo, Brown Hair Looks, Brown Hair ...
Brunette Beauty, Hair Beauty, Golden Brunette, ...
Lim tan(x)/x: Cách tính giới hạn khi x tiến về ...
100+ Shades of Brown Color (Names, HEX, RGB & C...
K-pop boy group TAN set to hold PH tour | ABS-C...
50+ Shades of Beige Color (Names, HEX, RGB & CM...
Trigonometry table 0 to 360 degree. Sin, cos, t...
Hair Color For Tan Skin, Ginger Hair Color, Med...
What is the Derivative of tan(x)? - [FULL SOLUT...
How To Make Tan Color Paint With Acrylic Paints...
Everthing About Ivory Color: An Ultimate Guide
Benjamin Moore Manchester Tan Paint Color Palet...
Trigonometric Values Sin Cos Tan
Tabel Trigonometri Lengkap 0 sampai 360 | Trigo...
Tan Color Wallpapers - Wallpaper Cave
[100+] Tan Aesthetic Wallpapers | Wallpapers.com
zhong feifei icon Pretty Woman, Curly Hair Styl...
Tan Color, Codes and Facts – HTML Color Codes
Level Zoom Tan Before And After | ubicaciondepe...
Tan Asian, Asian Girl, Columbian Girls, Black H...
Finding the Derivative of tan inverse x : Step-...
Sherwin Williams Canvas Tan Colour Review by Cl...
Color Beige Vs Tan
Value of Tan 180 | Learn and Solve Questions
Benjamin Moore Desert Tan vs Soft Beige side by...
Guys With Black Hair, Tan Guys, Cute Black Guys...
Natural Face, Natural Makeup, Hair Color For Ta...
Tan Theta Formula, Definition , Solved Examples
12 Best Benjamin Moore Beige Paint Colors in 2023