Электроусилитель рулевого управления: Электроус...
Снятие и установка электромеханического усилите...
Схемы электрических соединений и назначение кон...
Электромеханический усилитель рулевого управлен...
Замена электромеханического усилителя рулевого ...
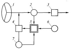
Схемы рулевого усилителя автомобиля
Блок управления электромеханического усилителя ...
ᐉ Усилители управления руля. Виды и принцип работы
Электромеханический усилитель рулевого колеса —...
Электроусилитель рулевого управления (EPS): уст...
Электрический усилитель руля.
Распиновка блока усилителя рулевого управления ...
Классификация рулевых усилителей: виды и класси...
Блок электромех. усилителя рулевого управления ...
Электроусилитель рулевого управления
ВАЗ Lada Priora Снятие и установка электромехан...
Усилители рулевого управления. Виды. Требования...
Блок управления электроусилителем руля лада гранта
RU43837U1 - Система управления электромеханичес...
Механизмы управления, Назначение и устройство р...