(Решено)Упр.14.10 ГДЗ Мордкович Семенов 7 класс...
(Решено)Упр.17.9 ГДЗ Мордкович Семенов 7 класс ...
Алгебра 7 Класс Макарычев Фото – Telegraph
(Решено)Упр.42.15 ГДЗ Мордкович Семенов 7 класс...
(Решено)Упр.17.12 ГДЗ Мордкович Семенов 7 класс...
(Решено)Упр.17.4 ГДЗ Мордкович Семенов 7 класс ...
(Решено)Упр.19.11 ГДЗ Мордкович Семенов 7 класс...
Алгебра. 7 класс. Устные упражнения - купить с ...
(Решено)Упр.37.7 ГДЗ Мордкович Семенов 7 класс ...
ГДЗ по алгебре 7 класс Мордкович, задачник 1, 2...
Решебник Алгебре 7 Класс Бевз Скачать бесплатно...
Алгебра 7 Клас - Навчальний План: Уроки, Тести ...
(Решено)Упр.16.10 ГДЗ Мордкович Семенов 7 класс...
(Решено)Упр.17.8 ГДЗ Мордкович Семенов 7 класс ...
Гдз Математика 7 Класс / Гдз Математика 7 Класс...
(Решено)Упр.17.6 ГДЗ Мордкович Семенов 7 класс ...
(Решено)Упр.26.7 ГДЗ Мордкович Семенов 7 класс ...
(Решено)Упр.1.29 ГДЗ Мордкович Семенов 7 класс ...
ГДЗ по Алгебре 7 класс Макарычев, Миндюк, Сувор...
ГДЗ по алгебре 7 класс (решебник) и ответы с по...
(Решено)Упр.16.1 ГДЗ Мордкович Семенов 7 класс ...
В мире информатики и математики: ДЗ_алгебра_7 к...
"Алгебра. 7 класс" скачать fb2, rtf, epub, pdf,...
Алгебра 7 клас - Одночлени
Алгебра. 7 клас – скачать бесплатно на aversev.by
(Решено)Упр.27.8 ГДЗ Мордкович Семенов 7 класс ...
(Решено)Ответы на вопросы Глава 7 ГДЗ Мордкович...
ГДЗ по алгебре 7 класс Алимов
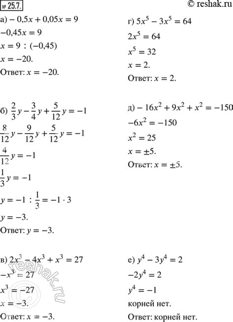
(Решено)Упр.25.7 ГДЗ Мордкович Семенов 7 класс ...
(Решено)Упр.17.5 ГДЗ Мордкович Семенов 7 класс ...
Алгебра 7 класс распечатать – Telegraph
Скачать Учебник. Алгебра. 7 класс. КШ - | Bizdi...
(Решено)Упр.3.17 ГДЗ Мордкович Семенов 7 класс ...
(Решено)Упр.37.10 ГДЗ Мордкович Семенов 7 класс...
(Решено)Упр.18.16 ГДЗ Мордкович Семенов 7 класс...