Энергия, импульс и масса в релятивистской динам...
Элементы релятивистской механики. Лекция 8 - on...
Релятивистская механика. Релятивистский импульс...
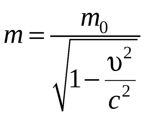
Релятивистская масса
Электромагнитное реле - YouTube
Понятия релятивистской динамики - масса, импуль...
Электромагнитное реле - Практическая электроника
Реле направления мощности - презентация онлайн
7. Элементы релятивистской механики Лекция № 12
Релятивистская энергия движущегося тела, выраже...
Что такое реле
Запчасть 25449024 - Купить в Иркутске! Цены. Фо...
Электромагнитный способ перемещения масс
Во сколько раз релятивистская масса протона бол...
Законы релятивистской механики. (Лекция 11) - п...
4.Что такое релятивистская масса; релятивистски...
Релятивистский импульс движущегося тела, выраже...