У трикутнику АВС на стороні АВ позначили точку ...
ТЕРМІНОВО допоможіть))‼️1. Доведіть, що трикутн...
коло, побудоване на стороні АС трикутника АВС я...
Дано ∠ABC. Площина Д, яка паралельна прямий AC ...
На стороні AC трикутника АВС позначено точку К ...
Точка С належить відрізку АB, довжина якого 8см...
На рисунке ab и aс - касательные к окружности. ...
Відрізок АК - медіана трикутника АВС, АС-8√2 см...
на продовженнях сторони AC трикутника ABC за то...
№6. Трикутник АВС перетинає пряма, яка паралель...
Пряма АК і точки В i L не лежать в одній площин...
точка А належить до відрізку СВ довжина якого 2...
Яка довжина висоти, проведеної до сторони АС тр...
Приклад 2. За допомогою лінійки та транспорти- ...
Torispherical Dish End fabrication terms - YouTube
Точка D- внутрішня точка відрізка AC. Знайдіть ...
AD - бісектриса трикутника АВС. Знайти кут ADC,...
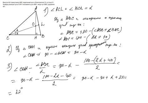
Висота АН трикутника АВС перетинається з бісект...
Довжина висоти АВ прямокутної трапеції АВСD дор...
З точки А що не належить площині альфа проведен...
Доведіть рівність трикутників АВС і АDС, якщо А...
У трикутник АВС вписано коло яке дотикаєтся АВ,...
Точка С належить відрізку AB, довжина якого 27 ...
Допоможіть будь ласочка! Терміново! 3. Бісектри...
Продовження бічних сторін АВ і СД трапеції АВСД...
бісектриса кута С прямокутника АВСД перетинає с...
через вершину А рівностороннього трикутника АВС...
Точка K належить відрізку АВ довжина якого 28 с...
Основою прямої призми ABCKLN є трикутник. Площа...
допоможіть будь ласка! тільки с розв'язком на а...
У паралелограмі АВСD , менша сторона якого АВ =...
знайти сторону АК. Дуже терміново - Школьные Зн...
Дано трикутник АВС. Площина а, паралельна сторо...
обовязково малюнок Точка С належить відрізку АВ...