Двухконтурная дверь в частный дом - 88 фото
Альянс-ТеплоЭффект
Двухконтурная система отопления в частном доме ...
Двухконтурная система отопления: особенности, у...
Двухконтурная система отопления: схема, виды, п...
Двухконтурная система отопления: схема подключе...
В чем преимущество двухконтурной схемы теплосна...
Двухконтурная система отопления частного дома. ...
Двухконтурная турбореактивная казацкая люлька с...
Устройство и принцип работы двухконтурного газо...
Двухконтурная финансовая система СССР. Точнее Т...
Описание принципа работы двухконтурного котла а...
Двухконтурная ядерная газотурбинная установка с...
Входные двери в квартиру и дом от производителя...
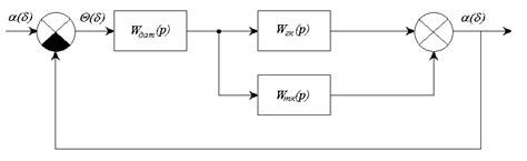
1.3 Двухконтурная система наведения
ДВУХКОНТУРНАЯ СХЕМА АЭС
Двухконтурная система охлаждения: в чём особенн...
Двухконтурная схема
Как работает двухконтурный котел: устройство, п...
Двухконтурная система отопления: общие сведения...